0160.相交链表
给你两个单链表的头节点 headA 和 headB ,请你找出并返回两个单链表相交的起始节点。如果两个链表不存在相交节点,返回 null 。
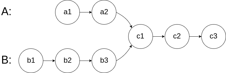
图示两个链表在节点 c1 开始相交:

题目数据保证整个链式结构中不存在环。
注意,函数返回结果后,链表必须保持其原始结构。
自定义评测:
评测系统 的输入如下(你设计的程序不适用此输入):
- intersectVal - 相交的起始节点的值。如果不存在相交节点,这一值为 0
- listA - 第一个链表
- listB - 第二个链表
- skipA - 在 listA 中(从头节点开始)跳到交叉节点的节点数
- skipB - 在 listB 中(从头节点开始)跳到交叉节点的节点数
评测系统将根据这些输入创建链式数据结构,并将两个头节点 headA 和 headB 传递给你的程序。如果程序能够正确返回相交节点,那么你的解决方案将被 视作正确答案 。
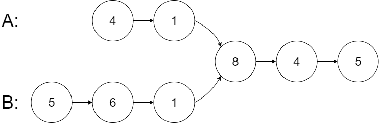
示例 1:

输入:intersectVal = 8, listA = [4,1,8,4,5], listB = [5,6,1,8,4,5], skipA = 2, skipB = 3
输出:Intersected at '8'
解释:相交节点的值为 8 (注意,如果两个链表相交则不能为 0)。 从各自的表头开始算起,链表 A 为 [4,1,8,4,5],链表 B 为 [5,6,1,8,4,5]。 在 A 中,相交节点前有 2 个节点;在 B 中,相交节点前有 3 个节点。
请注意相交节点的值不为 1,因为在链表 A 和链表 B 之中值为 1 的节点 (A 中第二个节点和 B 中第三个节点) 是不同的节点。换句话说,它们在内存中指向两个不同的位置,而链表 A 和链表 B 中值为 8 的节点 (A 中第三个节点,B 中第四个节点) 在内存中指向相同的位置。
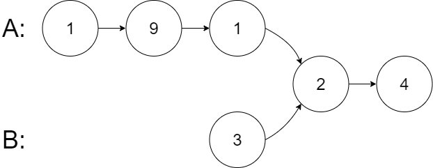
示例 2:

输入:intersectVal = 2, listA = [1,9,1,2,4], listB = [3,2,4], skipA = 3, skipB = 1
输出:Intersected at '2'
解释:相交节点的值为 2 (注意,如果两个链表相交则不能为 0)。从各自的表头开始算起,链表 A 为 [1,9,1,2,4],链表 B 为 [3,2,4]。在 A 中,相交节点前有 3 个节点;在 B 中,相交节点前有 1 个节点。
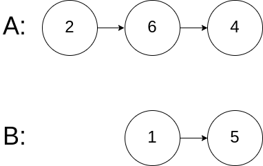
示例 3:

输入:intersectVal = 0, listA = [2,6,4], listB = [1,5], skipA = 3, skipB = 2
输出:No intersection
解释:从各自的表头开始算起,链表 A 为 [2,6,4],链表 B 为 [1,5]。由于这两个链表不相交,所以 intersectVal 必须为 0,而 skipA 和 skipB 可以是任意值。这两个链表不相交,因此返回 null 。
提示:
- listA 中节点数目为 m
- listB 中节点数目为 n
- 1 <= m, n <= 3 * \(10^4\)
- 1 <= Node.val <= \(10^5\)
- 0 <= skipA <= m
- 0 <= skipB <= n
- 如果 listA 和 listB 没有交点,intersectVal 为 0
- 如果 listA 和 listB 有交点,intersectVal == listA[skipA] == listB[skipB]
进阶:你能否设计一个时间复杂度 O(m + n) 、仅用 O(1) 内存的解决方案?
思路
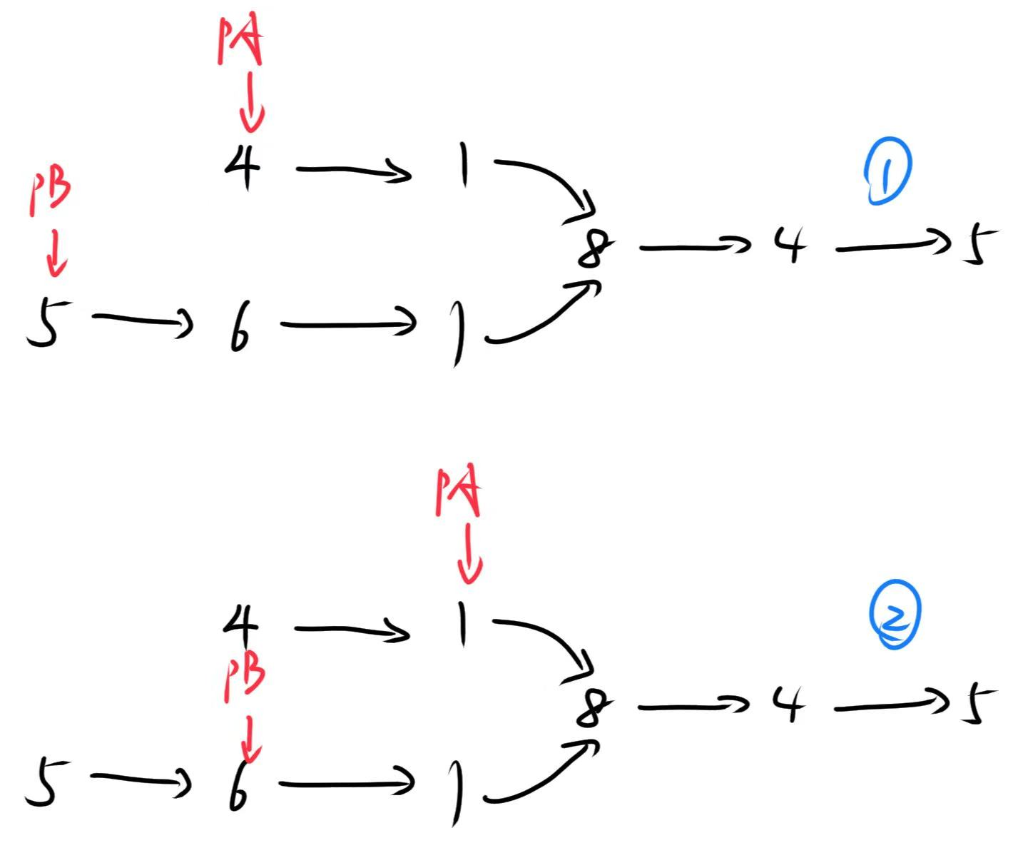
利用 ** 双指针 “路程互补”** 的思想:
- pA 走的总路程:A 的长度 + B 的前缀长度
- pB 走的总路程:B 的长度 + A 的前缀长度
- 由于 A 长度 + B 前缀 = B 长度 + A 前缀(因为相交后长度相同),双指针必然在交点相遇。




注意:此刻虽然pA和pB数值都是1,但是pA!=pB,因为两个节点不是同一个对象,双指针遍历的核心是比较节点的 “身份”(内存地址),而不是比较节点的值。

解答
/**
* Definition for singly-linked list.
* struct ListNode {
* int val;
* ListNode *next;
* ListNode(int x) : val(x), next(NULL) {}
* };
*/
class Solution {
public:
ListNode *getIntersectionNode(ListNode *headA, ListNode *headB) {
ListNode *pA = headA,*pB = headB;
while(pA!=pB){
pA = (pA == NULL) ? headB : pA->next;
pB = (pB == NULL) ? headA : pB->next;
}
return pA;
}
};
/**
* Definition for singly-linked list.
* function ListNode(val) {
* this.val = val;
* this.next = null;
* }
*/
/**
* @param {ListNode} headA
* @param {ListNode} headB
* @return {ListNode}
*/
var getIntersectionNode = function(headA, headB) {
if(headA == null || headB == null) return null;
let pA = headA;
let pB = headB;
while(pA!=pB){
pA=pA==null?headB:pA.next;
pB=pB==null?headA:pB.next;
}
return pB;
};