0086.分隔链表
给你一个链表的头节点 head 和一个特定值 x ,请你对链表进行分隔,使得所有 小于 x 的节点都出现在 大于或等于 x 的节点之前。
你应当 保留 两个分区中每个节点的初始相对位置。
示例 1:

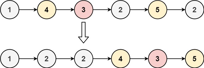
输入:head = [1,4,3,2,5,2], x = 3
输出:[1,2,2,4,3,5]
示例 2:
输入:head = [2,1], x = 2
输出:[1,2]
提示:
- 链表中节点的数目在范围 [0, 200] 内
- -100 <= Node.val <= 100
- -200 <= x <= 200
思路
我们可以使用两个虚拟头节点分别创建两个链表:一个链表用于存储所有小于 x 的节点,另一个链表用于存储所有大于或等于 x 的节点。然后,我们遍历原始链表,将每个节点根据其值添加到相应的链表中。最后,我们将两个链表连接起来,并确保新的链表的末尾指向 null。
解答
/**
* Definition for singly-linked list.
* function ListNode(val, next) {
* this.val = (val===undefined ? 0 : val)
* this.next = (next===undefined ? null : next)
* }
*/
/**
* @param {ListNode} head
* @param {number} x
* @return {ListNode}
*/
var partition = function(head, x) {
let dummy1 = new ListNode(0);
let dummy2 = new ListNode(0);
let p1 = dummy1;
let p2 = dummy2;
while(head!== null){
if(head.val<x){
p1.next = head;
p1 = p1.next;
}else{
p2.next = head;
p2 = p2.next;
}
head = head.next;
}
p1.next = dummy2.next;
p2.next = null;
return dummy1.next;
};