16. 注意力机制
内容概述:
注意力机制
补充
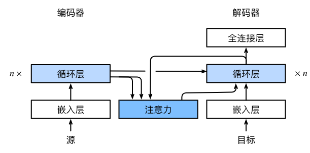
Seq2Seq与注意力机制
- 添加额外的注意层以编码器的输出作为存储器
- 注意力的输出用作解码器的输入

编码器-解码器注意力机制
- 使用编码器中的最后一个循环神经网络层的输出
- 然后注意力输出与嵌入输出拼接,以输入解码器中的第一个循环神经网络

注意力提示
一、核心思想:注意力是稀缺资源
- 注意力是有限、稀缺、有价值的资源,有机会成本。
- 环境信息远大于大脑处理能力,必须选择性关注。
- 注意力分配 = 资源最优分配,是 “注意力经济”。
二、生物学中的两类注意力提示
1、非自主性提示(被动)
基于突出性、显眼性;不受主观控制,环境自动吸引注意力(如红色杯子)。
2、自主性提示(主动)
由主观意愿、任务目标、认知驱动;有意识地选择关注对象(如主动看书)。
三、注意力机制的核心框架:Query / Key / Value
Query(查询) = 自主性提示(我想要什么)
Key(键) = 非自主性提示(输入本身的特征)
Value(值) = 实际要被加权聚合的感官输入
机制:
通过 Query 与 Key 的匹配 计算注意力权重,再对 Value 做加权平均(注意力汇聚)。

- 它的存储器(memory)有键值对组成。
- 键和查询越相似,则输出值约接近。

四、与全连接 / 汇聚层的本质区别
全连接 / 汇聚层:无自主提示,固定 / 均匀加权。 注意力机制:加入 Query(自主意图),实现动态、自适应加权。
五、注意力权重与可视化
注意力本质:加权平均,权重由 Query 和 Key 计算。
可用热图(heatmap) 直观展示:
- 行:Queries
- 列:Keys
- 颜色深浅:注意力权重大小

注意力汇聚:Nadaraya-Watson 核回归
一、核心定位:NW核回归的角色
Nadaraya-Watson(NW)核回归是注意力机制的极简实践范例——用回归任务直观演示了“注意力汇聚”的核心逻辑(对值的加权平均)。
二、注意力汇聚的本质(核心)
注意力汇聚 ≠ 平均汇聚:
-
平均汇聚:对所有值均等加权(无注意力区分),预测效果差;
-
注意力汇聚:对值动态加权平均,权重由「查询(Query)与键(Key)的相似度」决定(越相似,权重越高)。
三、两类注意力汇聚(NW核回归的两种形式)
| 类型 | 核心特点 | 公式(高斯核) | 预测效果 |
|---|---|---|---|
| 非参数版 | 无可学习参数,纯依赖数据 | 权重 = softmax(-(Query-Key)²/2) | 曲线平滑,数据足够时收敛到最优 |
| 带参数版 | 加入可学习参数 w |
权重 = softmax(-((Query-Key)×w)²/2) | 曲线更贴合带噪声的训练数据(不平滑) |
关键细节:
-
非参数版:注意力权重“随Query-Key距离递减”,热图呈现对角线集中(越近权重越高);
-
带参数版:可学习参数
w能调整相似度的“敏感度”,训练后权重集中度更高,曲线更贴合训练数据。
四、关键技术:批量矩阵乘法(bmm)
1. 作用
高效计算小批量数据的注意力加权平均(避免逐样本计算,提升效率)。
2. 形状规则
若输入张量形状为 (B, m, k) 和 (B, k, n),批量矩阵乘法输出为 (B, m, n)(B=批量大小)。
3. 注意力场景应用
权重(B, 查詢数, 键数) × 值(B, 键数, 1)→ 加权后的预测值(B, 查詢数, 1)。
五、带参数版NW核回归的训练流程
-
数据变换:将训练输入/输出转为“键-值对”(排除自身,避免过拟合);
-
损失函数:均方误差(MSE);
-
优化器:随机梯度下降(SGD);
-
核心操作:通过反向传播学习参数
w,调整注意力权重的分配规则。
六、本节小结
-
NW核回归是注意力机制的经典回归范例;
-
注意力汇聚=值的加权平均,权重由Query-Key相似度决定;
-
注意力汇聚分非参数(无训练参数、平滑)和带参数(有可学习w、贴合数据)两类;
-
批量矩阵乘法(bmm)是高效计算注意力加权平均的关键。
注意力评分函数(评分函数)
一、核心定位:注意力评分函数的作用

注意力评分函数(简称评分函数)是连接查询(Query)和键(Key)、计算注意力权重的核心,其核心逻辑的:
-
输入:查询
q和键k(向量); -
输出:标量(表示
q和k的相似度); -
后续操作:将评分函数的输出输入
softmax,得到注意力权重,最终通过加权和得到注意力汇聚输出。
数学表达(核心公式)
设查询 q、n 个“键-值对” (k₁,v₁),...,(kₙ,vₙ),则:
-
注意力权重:
α = softmax(s(q, kᵢ))(s为评分函数) -
注意力汇聚输出:
注意力汇聚(q, {(k₁,v₁),...,(kₙ,vₙ)}) = Σαᵢvᵢ
二、关键辅助操作:掩蔽softmax(masked_softmax)
1. 核心作用
过滤无效的“键-值对”,避免无意义的词元(如文本填充词元)参与注意力汇聚,确保注意力权重仅分配给有效数据。
2. 实现逻辑
-
输入:3D张量
X(批量大小×查询数×键数)、有效长度valid_lens(1D/2D,指定有效键的个数); -
操作:将超出有效长度的位置替换为极小值(
-1e6),经过softmax后该位置权重趋近于0; -
应用场景:小批量文本处理(过滤填充词元)、序列任务(过滤无效时序位置)。
3. 关键示例
-
1D有效长度:
masked_softmax(torch.rand(2,2,4), torch.tensor([2,3])),超出长度2、3的位置权重为0; -
2D有效长度:为每个查询单独指定有效键长度,灵活适配不同样本的有效数据范围。
三、两种核心注意力评分函数
(一)加性注意力(Additive Attention)
1. 适用场景
查询和键的维度不同(无法直接做点积)。
2. 评分函数公式
s(q, k) = wᵥᵀ · tanh(W_q q + W_k k)
-
可学习参数:
W_q(查询投影矩阵)、W_k(键投影矩阵)、wᵥ(输出投影向量); -
核心逻辑:将
q和k分别投影到同一隐藏维度,再连结(广播求和),通过tanh激活后,投影为标量评分。
3. 实现细节(代码核心)
-
类
AdditiveAttention核心层:W_q(Linear,无偏置)、W_k(Linear,无偏置)、w_v(Linear,无偏置)、Dropout(正则化); -
前向传播步骤:查询/键投影 → 广播求和生成特征 →
tanh激活 → 标量评分 → 掩蔽softmax得权重 → 加权和输出(批量矩阵乘法bmm); -
输入输出形状:
-
输入:
queries(批量, 查询数, 查询维度)、keys(批量, 键数, 键维度)、values(批量, 键数, 值维度); -
输出:(批量, 查询数, 值维度)。
-
(二)缩放点积注意力(Scaled Dot-Product Attention)
1. 适用场景
查询和键的维度相同(计算效率远高于加性注意力,是Transformer的核心)。
2. 评分函数公式
s(q, k) = (q · k) / √d(d 为查询/键的维度)
-
核心改进:除以
√d,解决“维度d增大时,点积方差过大、softmax输出趋于极端(要么接近1,要么接近0)”的问题; -
批量计算公式:
注意力输出 = softmax(QKᵀ / √d) · V(Q为查询矩阵,K为键矩阵,V为值矩阵)。
3. 实现细节(代码核心)
-
类
DotProductAttention核心层:仅Dropout(无额外投影层,计算更高效); -
前向传播步骤:计算点积 → 缩放(除以
√d) → 掩蔽softmax得权重 → 加权和输出(bmm); -
关键优势:无额外可学习参数,仅通过矩阵运算实现,速度快、显存占用低。
四、两种评分函数对比(易记表格)
| 对比维度 | 加性注意力 | 缩放点积注意力 |
|---|---|---|
| 适用场景 | 查询、键维度不同 | 查询、键维度相同 |
| 可学习参数 | 有(W_q、W_k、w_v) | 无 |
| 计算效率 | 较低(需投影+激活) | 较高(仅矩阵点积+缩放) |
| 核心优势 | 灵活性高,适配不同维度 | 高效简洁,适合大规模任务 |
五、本节小结
-
评分函数的作用:计算Q与K的相似度,为注意力权重提供依据;
-
掩蔽softmax:过滤无效键-值对,保证注意力权重的有效性;
-
加性注意力:适配Q、K维度不同,有可学习参数,灵活性高;
-
缩放点积注意力:适配Q、K维度相同,无额外参数,效率高;
-
核心逻辑:评分→softmax得权重→加权和得注意力汇聚输出。
Bahdanau注意力模型
一、核心背景:为什么需要Bahdanau注意力?
1. 传统Seq2Seq的痛点
传统Seq2Seq(编码器-解码器)的核心问题:每个解码步骤都使用相同的固定形状上下文变量,无法区分输入(源)序列中对当前解码词元有用/无用的部分,导致长序列翻译等任务效果不佳。
2. 灵感来源
受Graves可微注意力模型(文本字符与笔迹对齐,单向对齐)启发,Bahdanau等人提出无严格单向对齐限制的可微注意力模型——让模型在预测每个词元时,仅“关注”输入序列中与之相关的部分,通过动态生成上下文变量解决上述痛点。
二、Bahdanau注意力模型核心
1. 核心改进
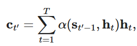
将传统Seq2Seq中“固定上下文变量”,替换为每个解码时间步动态生成的注意力汇聚输出,即解码时间步 t 的上下文变量 c_t 由注意力机制计算得到。
2. 核心公式与Q/K/V定义
设输入序列长度为 n,解码时间步为 t:
- 上下文变量(注意力汇聚输出):

-
各组件对应关系(衔接注意力评分函数知识点):
-
查询(Query):解码器上一时间步的隐状态
s_{t-1}(当前解码的“意图”); -
键(Key):编码器所有时间步的隐状态
h_i(输入序列的“特征标识”); -
值(Value):编码器所有时间步的隐状态
h_i(与键相同,简化设计); -
评分函数:使用加性注意力(适配解码器隐状态与编码器隐状态可能不同维度的情况),通过
softmax得到注意力权重α_{t,i},最终加权和得到c_t。
-

3. 模型架构差异
与传统Seq2Seq编码器-解码器相比,核心差异仅在解码器:解码器每个时间步的输入,由“上一步输出词元的嵌入 + 当前注意力汇聚输出(动态上下文变量)”共同构成,实现动态关注输入序列的相关部分。
三、核心实现:注意力解码器(代码关键细节)
1. 基础接口:AttentionDecoder
定义带有注意力机制解码器的统一接口,核心是暴露 attention_weights 属性(用于后续可视化注意力权重),未实现具体逻辑,供子类继承。
2. 具体实现:Seq2SeqAttentionDecoder(核心类)
(1)初始化参数
-
核心组件:加性注意力(
AdditiveAttention)、词嵌入层(Embedding)、GRU解码器(GRU)、全连接层(Linear,输出词表维度); -
关键设计:GRU输入维度 = 词嵌入维度 + 编码器隐状态维度(因为要拼接“词嵌入 + 注意力输出”)。
(2)核心方法
-
init_state(初始化解码器状态):-
输入:编码器输出(
enc_outputs,含编码器所有时间步隐状态)、编码器有效长度(enc_valid_lens,过滤填充词元); -
输出:调整维度后的编码器隐状态(作为注意力的K/V)、解码器初始隐状态、编码器有效长度。
-
-
forward(前向传播,核心步骤):
① 词嵌入:将解码器输入 X(目标序列)转为词嵌入,调整维度适配GRU输入;
② 循环处理每个解码时间步:
-
生成查询:取解码器上一步的最终层隐状态(
hidden_state[-1]),调整维度作为查询; -
计算注意力:通过加性注意力,用查询匹配编码器隐状态(K/V),得到上下文变量
context; -
拼接特征:将上下文变量与当前时间步的词嵌入拼接,作为GRU的输入;
-
GRU前向:更新解码器隐状态,记录输出和注意力权重;
③ 全连接输出:将所有时间步的输出拼接,通过全连接层转为词表维度,返回最终输出和更新后的状态。
attention_weights(属性):返回每个解码时间步的注意力权重,用于后续可视化。
(3)关键形状(便于理解代码)
-
编码器输出
enc_outputs:(批量大小, 输入序列长度, 编码器隐状态维度); -
解码器输入
X:(批量大小, 目标序列长度) → 词嵌入后:(目标序列长度, 批量大小, 嵌入维度); -
上下文变量
context:(批量大小, 1, 编码器隐状态维度); -
最终输出:(批量大小, 目标序列长度, 词表大小)。
3. 简单测试
用小批量数据(4个样本,每个7个时间步)测试解码器,验证输出形状符合预期,确保注意力机制和GRU解码器正常工作。
四、训练与验证
1. 训练配置
-
超参数:嵌入维度、隐状态维度、层数、 dropout(正则化)、批量大小、学习率、训练轮次;
-
数据:机器翻译数据集(英→法),加载并处理为批量迭代器;
-
模型:实例化Seq2Seq编码器、Bahdanau注意力解码器,组合为
EncoderDecoder模型; -
训练方法:与传统Seq2Seq一致,但因新增注意力机制,训练速度更慢。
2. 预测与评估
-
预测:将英语句子翻译成法语,输出翻译结果;
-
评估指标:BLEU分数(衡量翻译质量,越接近1越好),示例中多数句子BLEU=1.0,说明模型翻译效果较好。
3. 注意力权重可视化
- 核心结论:每个解码时间步(查询)会对输入序列的不同位置(键)分配不同的注意力权重,证明模型确实在“选择性关注”输入序列中与当前预测相关的部分(如翻译“je suis chez moi”时,会重点关注输入“i'm home”的对应词元)。
五、传统Seq2Seq与Bahdanau注意力Seq2Seq对比
| 对比维度 | 传统Seq2Seq | Bahdanau注意力Seq2Seq |
|---|---|---|
| 上下文变量 | 固定不变(全序列编码结果) | 动态生成(每个解码步不同) |
| 输入关注方式 | 无选择性(关注全序列) | 选择性关注(仅相关部分) |
| 核心优势 | 计算简单、速度快 | 长序列效果好、翻译更精准 |
| 评分函数 | 无注意力评分 | 加性注意力评分函数 |
六、本节核心小结
-
Bahdanau注意力解决传统Seq2Seq“固定上下文变量”的痛点,实现对输入序列的选择性关注;
-
核心逻辑:每个解码步的上下文变量 = 加性注意力汇聚输出,Q=解码器上一步隐状态,K=V=编码器所有隐状态;
-
解码器核心:拼接“词嵌入 + 注意力输出”作为GRU输入,动态更新隐状态和注意力权重;
-
关键验证:BLEU分数评估翻译质量,注意力权重可视化验证“选择性关注”的有效性。
多头注意力机制
一、核心背景:为什么需要多头注意力?
单一注意力头的局限性:
-
仅能学习查询(Q)、键(K)、值(V)的一种子空间表示,只能捕获序列中某一种依赖关系(如仅短距离/仅长距离);
-
无法组合多种不同的注意力行为,表达能力有限。
多头注意力的目标:
让模型基于相同的Q/K/V集合,学习不同子空间的表示,并行计算多个注意力头,组合不同头的输出,从而捕获序列内多种范围的依赖关系(短距离+长距离、局部+全局等)。
二、多头注意力核心思想(重点)

核心逻辑:“分→并→合”
-
分:将Q/K/V通过多组独立的线性投影,变换到不同的子空间(生成多组Q/K/V);
-
并:每组变换后的Q/K/V并行计算一个注意力头(用缩放点积注意力);
-
合:将多个头的输出拼接,再通过一次线性投影得到最终输出。
三、数学模型(形式化表达)
设注意力头数为 \(h\) ,给定查询 \(\boldsymbol{q} \in \mathbb{R}^{d_q}\) 、键 \(\boldsymbol{k} \in \mathbb{R}^{d_k}\) 、值 \(\boldsymbol{v} \in \mathbb{R}^{d_v}\) :
1. 单个注意力头 \(i\) 的计算
\(\boldsymbol{o}_i = \text{Attention}(\boldsymbol{q} \boldsymbol{W}_q^{(i)}, \boldsymbol{k} \boldsymbol{W}_k^{(i)}, \boldsymbol{v} \boldsymbol{W}_v^{(i)})\)
-
\(\boldsymbol{W}_q^{(i)} \in \mathbb{R}^{d_q \times d_h}\) 、 \(\boldsymbol{W}_k^{(i)} \in \mathbb{R}^{d_k \times d_h}\) 、 \(\boldsymbol{W}_v^{(i)} \in \mathbb{R}^{d_v \times d_h}\) :第 \(i\) 个头的可学习线性投影参数;
-
\(d_h\) :单个头的特征维度(通常设 \(d_h = \frac{d_{\text{hiddens}}}{h}\) ,保证总计算量与单头一致);
-
\(\text{Attention}\) :缩放点积注意力(优先选择,计算效率高)。
2. 多头注意力最终输出
\(\boldsymbol{o} = \left[\boldsymbol{o}_1, \boldsymbol{o}_2, ..., \boldsymbol{o}_h\right] \boldsymbol{W}_o\)
-
\(\left[\boldsymbol{o}_1,...,\boldsymbol{o}_h\right]\) : \(h\) 个头输出的拼接(维度 \(h \cdot d_h = d_{\text{hiddens}}\) );
-
\(\boldsymbol{W}_o \in \mathbb{R}^{h \cdot d_h \times d_{\text{hiddens}}}\) :最终的可学习线性投影参数。
四、实现关键:并行计算(核心代码细节)
为避免逐个计算注意力头(效率低),通过张量转置/重塑实现 \(h\) 个头的并行计算,核心依赖两个函数:
1. 核心函数:transpose_qkv(拆分并转置,适配并行)
作用
将Q/K/V从“批量×序列长度×总隐维度”,重塑为“批量×头数×序列长度×单头隐维度”,再展平为“批量×头数 × 序列长度×单头隐维度”,让多个头在批量维度并行计算。
形状变换(关键)
输入(Q/K/V): \((batch_size, seq_len, num_hiddens)\)
→ 重塑: \((batch_size, seq_len, num_heads, num_hiddens/num_heads)\)
→ 转置: \((batch_size, num_heads, seq_len, num_hiddens/num_heads)\)
→ 展平: \((batch_size \times num_heads, seq_len, num_hiddens/num_heads)\)
2. 核心函数:transpose_output(还原形状)
作用
将并行计算后的多个头输出,从“批量×头数 × 序列长度×单头隐维度”还原为“批量×序列长度×总隐维度”,以便拼接后线性投影。
形状变换(关键)
输入: \((batch_size \times num_heads, seq_len, num_hiddens/num_heads)\)
→ 重塑: \((batch_size, num_heads, seq_len, num_hiddens/num_heads)\)
→ 转置: \((batch_size, seq_len, num_heads, num_hiddens/num_heads)\)
→ 展平: \((batch_size, seq_len, num_hiddens)\)
3. MultiHeadAttention类核心逻辑
class MultiHeadAttention(nn.Module):
def __init__(self, key_size, query_size, value_size, num_hiddens, num_heads, dropout, bias=False):
super().__init__()
self.num_heads = num_heads
self.attention = d2l.DotProductAttention(dropout) # 缩放点积注意力
# 4个线性层:Q/K/V的投影 + 最终拼接后的投影
self.W_q = nn.Linear(query_size, num_hiddens, bias=bias)
self.W_k = nn.Linear(key_size, num_hiddens, bias=bias)
self.W_v = nn.Linear(value_size, num_hiddens, bias=bias)
self.W_o = nn.Linear(num_hiddens, num_hiddens, bias=bias)
def forward(self, queries, keys, values, valid_lens):
# 1. Q/K/V线性投影 + 转置适配并行计算
queries = transpose_qkv(self.W_q(queries), self.num_heads)
keys = transpose_qkv(self.W_k(keys), self.num_heads)
values = transpose_qkv(self.W_v(values), self.num_heads)
# 2. 有效长度适配:每个头复用相同的有效长度
if valid_lens is not None:
valid_lens = torch.repeat_interleave(valid_lens, repeats=self.num_heads, dim=0)
# 3. 并行计算所有头的注意力输出
output = self.attention(queries, keys, values, valid_lens)
# 4. 还原形状 + 最终线性投影
output_concat = transpose_output(output, self.num_heads)
return self.W_o(output_concat)
五、测试验证(关键形状)
输入输出形状验证(以示例参数为例):
-
输入:Q=(2,4,100)、K=V=(2,6,100),有效长度=[3,2],头数=5,总隐维度=100;
-
单头隐维度:100/5=20;
-
并行计算时Q/K/V形状:(2×5,4,20)=(10,4,20)、(10,6,20);
-
最终输出形状:(2,4,100)(批量×查询数×总隐维度),符合预期。
六、核心优势与关键设计
-
表达能力增强:多个头学习不同子空间的注意力模式,捕获多维度依赖;
-
计算效率优化:通过张量转置实现并行计算,避免逐个计算头,效率与单头接近;
-
参数规模可控:设 \(d_{\text{hiddens}} = h \cdot d_h\) ,总参数数与单头注意力基本一致(无大幅增长)。
七、本节核心小结
-
多头注意力的核心:融合多组子空间的注意力行为,捕获序列多种依赖关系;
-
实现逻辑:Q/K/V线性投影→并行计算多注意力头→拼接→最终线性投影;
-
并行关键:transpose_qkv/transpose_output实现张量形状变换,适配批量并行计算;
-
注意力头选择:优先用缩放点积注意力,保证计算效率。
自注意力和位置编码
一、自注意力(核心概念)
1. 基本定义
自注意力也被称为内部注意力,是注意力机制的特殊形式:查询(Q)、键(K)、值(V)均来自同一组输入序列,无需外部额外的键值对。输入一个词元序列后,每个词元会作为查询,关注序列内所有词元对应的键值对,最终生成和输入长度完全相同的输出序列。
2. 核心逻辑与实现
从数学层面来看,给定输入词元序列,任意位置的输出都通过注意力汇聚函数计算得出,完全依托同源的Q、K、V完成加权聚合。实际代码实现中,自注意力直接基于多头注意力搭建,输入张量形状为(批量大小,序列长度/时间步数,隐层维度),输出张量与输入形状完全一致,保证序列编码的长度适配性。
代码核心要点:输入X同时充当Q、K、V传入多头注意力层,最终输出形状和输入完全匹配,这也是自注意力能直接替换RNN/CNN做序列编码的关键。
3. 核心优势
每个词元都能直接和序列内任意词元建立关联,彻底打破了RNN的局部依赖限制,能轻松捕捉序列内长距离依赖关系,同时支持完全并行计算,效率远高于逐词处理的RNN。
二、卷积神经网络、循环神经网络、自注意力三大架构对比

本节核心对比环节,围绕计算复杂度、顺序操作、最大路径长度、并行能力、长距离依赖五大维度,对比三种序列建模架构的优劣,明确各自适用场景,具体对比如下:
| 对比维度 | 卷积神经网络(CNN) | 循环神经网络(RNN) | 自注意力 |
|---|---|---|---|
| 计算复杂度 | O(nkd)(n=序列长度,k=卷积核大小,d=特征维度) | O(nd²) | O(n²d)(序列长度的二次方复杂度,核心缺点) |
| 顺序操作 | O(n/k),可分层并行 | O(n),逐词处理,完全无法并行 | O(1),所有位置同步计算,完全并行 |
| 最大路径长度 | O(logₖn),多层卷积才能覆盖长序列 | O(n),长序列依赖传递路径极长 | O(1),任意位置直接相连,路径最短 |
| 并行计算能力 | 支持并行,效率较高 | 不支持并行,效率极低 | 完全并行,效率最高 |
| 长距离依赖 | 学习难度大,仅能捕捉局部依赖 | 学习难度极大,容易梯度消失 | 轻松捕捉,建模能力极强 |
| 核心缺点 | 长序列全局依赖建模弱 | 无法并行、长依赖难学 | 长序列计算成本极高(二次方复杂度) |
关键结论:CNN和自注意力都具备并行优势,自注意力的长距离依赖建模能力最强,但序列过长时计算速度会大幅变慢,这是自注意力最核心的局限性。
三、位置编码(核心补充模块)
1. 引入背景
RNN是逐个词元顺序处理,天生自带序列的位置顺序信息;而自注意力采用完全并行计算,所有词元同时参与运算,完全丢失了词元的先后顺序信息。但序列任务(如文本、语音)中,词元顺序直接决定语义,因此需要通过位置编码,向输入表示中注入位置信息,弥补这一缺陷。
2. 基本定义
位置编码是向输入词嵌入中叠加额外的位置特征,为模型提供绝对位置信息(词元在序列中的具体位置)和相对位置信息(词元之间的距离关系)。位置编码分为可学习型和固定型,本节采用Transformer原生的正弦余弦固定位置编码,无需训练,直接通过三角函数生成。
3. 核心公式与实现
位置编码通过位置嵌入矩阵实现,矩阵的行对应词元在序列中的位置,列对应编码维度,核心规则为:
-
偶数维度:采用正弦函数(sin)计算
-
奇数维度:采用余弦函数(cos)计算
代码实现通过PositionalEncoding类完成:先创建足够长的位置矩阵,前向传播时将位置编码直接叠加到输入词嵌入上,再通过Dropout做正则化,保证位置信息稳定注入。
4. 核心特性
-
捕获绝对位置:不同位置的编码值不同,编码维度上的频率沿维度方向单调递减,连续浮点数表示比二进制更节省空间,能清晰区分每个词元的绝对位置。
-
捕获相对位置:对于任意固定的位置偏移,某一位置的编码可通过线性投影得到另一位置的编码,模型能自主学习词元之间的相对位置关系,不依赖具体位置索引。
四、本节核心小结
-
自注意力的核心是Q、K、V同源,均来自输入序列本身,也叫内部注意力,输出与输入等长。
-
自注意力并行能力最强、长距离依赖建模最优,但计算复杂度是序列长度的二次方,长序列运行速度慢。
-
RNN自带顺序信息但无法并行,CNN可并行但长依赖弱,自注意力需额外补充位置信息。
-
位置编码的作用是向并行计算的自注意力注入绝对+相对位置信息,Transformer常用正弦余弦固定编码实现。
五、关键注意事项
-
自注意力不可单独直接用于序列任务,必须搭配位置编码,否则模型无法识别词元先后顺序,任务效果会大幅下降。
-
长序列任务中,自注意力的二次方复杂度是核心瓶颈,后续Transformer变体多针对这一点做优化。
-
位置编码直接叠加在输入嵌入上,不改变输入输出形状,不影响原有注意力机制的计算流程。
transformer
一、核心定位与设计优势
-
核心特点:无卷积/循环层,完全基于注意力机制,同时具备极致并行性(自注意力替代 RNN 逐词处理)和短路径长度(任意词元直接关联),解决了 RNN 长依赖难学、CNN 全局依赖弱的问题。
-
适用场景:最初用于序列到序列(Seq2Seq)任务(如机器翻译),现扩展到 NLP/视觉/语音等领域,编码器/解码器可单独使用(如 BERT 用编码器,GPT 用解码器)。
-
对比 Bahdanau 注意力 Seq2Seq:后者仍依赖 RNN 做编解码,仅在解码器引入注意力;Transformer 则用“多头自注意力+位置编码”完全替代 RNN,并行效率更高。
二、Transformer 整体架构

Transformer 遵循编码器-解码器架构,核心是“层堆叠+残差连接+层规范化”:
-
编码器:由
num_layers个相同的编码器块堆叠而成,输入为源序列嵌入+位置编码,输出为源序列的全局表示; -
解码器:由
num_layers个相同的解码器块堆叠而成,输入为目标序列嵌入+位置编码,结合编码器输出完成预测,通过掩蔽注意力保证自回归属性; -
统一约束:所有组件的特征维度均为
num_hiddens,确保残差连接的加法操作和注意力的点积计算维度匹配。
三、核心组件详解
1. 基于位置的前馈网络(PositionWiseFFN)
-
核心逻辑:对序列中每个位置的词元表示,用同一个两层 MLP 做变换(输入→隐藏层→ReLU→输出层);
-
形状变换:输入
(batch_size, seq_len, num_hiddens)→ 输出(batch_size, seq_len, num_hiddens),仅改变最后一维的内部特征,不改变序列长度; -
作用:对注意力输出的特征做非线性变换,增强模型表达能力。
2. 残差连接 + 层规范化(AddNorm)
-
层规范化 vs 批量规范化:
-
批量规范化:按样本维度归一化(适合视觉);
-
层规范化:按特征维度归一化(适合变长序列的 NLP 任务);
-
-
AddNorm 逻辑:
ln(X + dropout(Y)),其中 X 是子层输入,Y 是子层输出; -
核心作用:解决深度模型的梯度消失问题,保证模型可训练(Transformer 层数通常≥6)。
3. 多头注意力的三类应用
| 注意力类型 | 应用位置 | 查询(Q)来源 | 键(K)/值(V)来源 | 特殊约束 |
|---|---|---|---|---|
| 编码器自注意力 | 编码器块 | 前一层编码器输出 | 前一层编码器输出 | 基于有效长度屏蔽填充词元 |
| 解码器掩蔽自注意力 | 解码器块(第一层) | 前一层解码器输出 | 前一层解码器输出 | 掩蔽未来位置(自回归) |
| 编码器-解码器注意力 | 解码器块(第二层) | 解码器自注意力输出 | 编码器最终输出 | 基于编码器有效长度屏蔽填充词元 |
四、编码器设计(TransformerEncoder)
1. 单编码器块(EncoderBlock)
-
子层结构:多头自注意力 → AddNorm → 基于位置的前馈网络 → AddNorm;
-
输入输出:形状始终为
(batch_size, seq_len, num_hiddens),不改变序列长度; -
关键处理:自注意力阶段传入
valid_lens,避免查询与填充词元计算注意力。
2. 编码器整体流程
-
输入处理:词嵌入(
Embedding)→ 缩放(×√num_hiddens)→ 叠加位置编码(PositionalEncoding);- 缩放原因:位置编码值在[-1,1],嵌入值缩放后量级匹配,避免位置编码被掩盖;
-
层堆叠:依次经过
num_layers个编码器块,每个块输出都通过 AddNorm 保留残差信息; -
输出:源序列的全局特征表示,供解码器使用。
五、解码器设计(TransformerDecoder)
1. 单解码器块(DecoderBlock)
-
子层结构:掩蔽自注意力 → AddNorm → 编码器-解码器注意力 → AddNorm → 前馈网络 → AddNorm;
-
自回归约束:训练时生成
dec_valid_lens(每行是[1,2,...,seq_len]),确保查询仅关注当前及之前位置;预测时逐词生成,动态拼接已生成词元的特征。
2. 解码器整体流程
-
输入处理:与编码器一致(词嵌入+缩放+位置编码);
-
状态初始化:传入编码器输出、编码器有效长度、空列表(存储已生成词元特征);
-
层堆叠:依次经过
num_layers个解码器块,最终通过全连接层映射到目标词表维度; -
注意力权重存储:记录解码器自注意力和编码器-解码器注意力权重,用于可视化。
六、训练与应用
1. 训练关键
-
数据集:以英-法机器翻译为例,输入为源序列(英语)、目标序列(法语);
-
优化器:Adam(学习率 0.005),搭配 Dropout 正则化;
-
评估指标:BLEU 分数(越接近 1 翻译效果越好)。
2. 注意力可视化
-
编码器自注意力:查询/键均来自源序列,可观察源序列内部的词元关联(如“i'm home”中“home”与“i'm”的注意力权重);
-
解码器自注意力:掩蔽未来位置,权重矩阵下三角非零,上三角为0;
-
编码器-解码器注意力:可观察目标词元对源词元的关注(如法语“chez moi”关注英语“home”)。
七、核心小结
-
Transformer 是纯注意力的编解码架构,无 CNN/RNN,依赖多头注意力+位置编码实现序列建模;
-
编码器用自注意力建模源序列内部依赖,解码器用“掩蔽自注意力+编码器-解码器注意力”实现自回归预测;
-
残差连接+层规范化是训练深层 Transformer 的核心,基于位置的前馈网络增强特征表达;
-
位置编码解决自注意力的顺序丢失问题,缩放嵌入值保证位置编码的有效性;
-
掩蔽注意力是解码器自回归的关键,确保预测仅依赖已生成词元。
八、关键易错点
-
位置编码叠加方式:直接相加(X + Pos),而非拼接,保证特征维度不变;
-
有效长度的两类应用:编码器屏蔽填充词元,解码器掩蔽未来位置;
-
词嵌入缩放:必须×√num_hiddens,否则位置编码的作用会被嵌入值掩盖;
-
解码器状态管理:预测阶段需动态拼接已生成词元的特征,而非一次性输入全部目标序列。